Вещество CS (Си-Эс)
Военные коды: CS, ЕА 1779, CBM (США), CB (франц.) T.792 (англ.), "Сирень", "продукт 65" и К-410 (производство в бывшем СССР).
орто-хлорбензилиденмалононитрил
Торговые названия: Mace CS, Chemical Shield, Freeze M, Saber и множество других.
История применения вещества CS
В 1895 году немецкий R. Heuck впервые синтезировал и описал раздражающее действие на слизистые оболочки глаз и носа бензальмалононитрила[51].
В 1914 немецкие химики G. Heller и P.Wunderlih публикуют статью, в котрой обращают внимание на «неприятные раздражающие свойства» о-нитробензилиденмалононитрила. Они также отмечают, что вещество «разъедает [greift] слизистые оболочки»[33]. Спустя полстолетия это соединение будет впоследствии изучаться в Портон-Дауне, как главный конкурент вещества CS.
В 1928 году B.B. Corson и R.W. Stoughton впервые синтезировали и описали раздражающее действие о-хлорбензилиденмалононитрила[40]. Через 30 лет в их честь он получит кодовое название CS, состоящее из первых букв фамилий химиков — Corson и Stoughton.
В 1934 году в Великобритании на военно-химической экспериментальной станции в Портон-Дауне (CWES) проведены первые испытания на людях о-хлорбензилиденмалононитрила, но дальнейшего развития эти работы не получили[49].
В 1949 году C. R. Noller и H. G. Sturz из Стэнфордского университета, занимавшиеся по контракту с МО США поиском новых отравляющих веществ, синтезировали 16 замещённых бензальмалононитрилов, среди которых были ирританты не уступающие CS, но также не обратили на них должного внимания[48].
В 1958 году перед химиками из Портон-Дауна была поставлена задача найти более эффективную замену хлорацетофенону. Среди большего количества ирритантов, протестированных на добровольцах наилучший результат оказался у о-хлорбензилиденмалононитрила (T.792)[49].
В 1958–959 годах о-хлорбензилиденмалононитрил впервые был применен английскими колониальными войсками во время гражданских волнений на Кипре. С 1960 по 1965 годы Британия в своих колониях 124 раза использовала этот и другие ирританты[34].
Успешное применение вещества T.792 на Кипре послужило толчком к изучению этого ирританта в США. С 1958 года по 1973 год в США велись широкомасштабные испытания о-хлорбензилиденмалононитрила с участием 1366 волонтеров. В июне 1959 года принят на вооружении американской армией под названием CS[43].
В начале 60-х годов в Южно-Африканской республике запущено производство средств подавления беспорядков на основе CS для армии и полиции. В 1976 году вещество CS широко применялось для борьбы с массовыми протестами[37].
Начиная с 1964 года CS начинает широко применяться в ходе американского вмешательства во Вьетнаме. 8 мая 1966 года американскими войсками во Вьетнаме была предпринята самая массированная химическая атака. В этот день над джунглями, поблизости от границы с Камбоджей, было рассеяно 12 тонн CS. А всего с 1964 по 1969 год США распылило над территорией Вьетнама около 7 000 тонн CS и его рецептур.
В 1969 году британская полиция широко применяет вещество CS во время беспорядков в Северной Ирландии[32].
В 1978 году в бывшей Югославии начато промышленное производство вещества CS и его рецептуры CS-1, для снаряжения ручных и винтовочных гранат. Производственные мощности позволяли получать 200 кг ирританта в день[30].
В ноябре 1979 года в Мекке (Саудовская Аравия) группа исламских фундаменталистов захватила в заложники свыше 6000 паломников. В течении 9 дней в огромном убежище, которое находится под священным камнем — Кааба, отлично вооруженные террористы держали оборону. После нескольких неудачных попыток освободить заложников, король Саудовской Аравии обратился за помощью к президенту Франции Жискару Д'Эстену. В ходе операции, которой руководили сотрудники французского полицейского спецназа GIGN, помимо стрелкового оружия и взрывчатки широко применялся газ CS.



Саудовские солдаты экипированные французскими противогазами и костюмами химзащиты в подземельях Каабы
Применение ирританта стало решающим фактором и после четырехчасовых боев сопротивление террористов было сломлено. В ходе операции было израсходовано 300 килограммов CS, практически весь запас Франции.
Начиная с 1982 года войска Саддама Хусейна начинают активно применять CS и другие отравляющие вещества в ходе Ирано-Иракской войны.
В июне 1987 года правительством Южной Кореи для подавления массовых беспорядков было использовано 351 000 различных средств содержащих CS.
При подавлении волнений 9 апреля 1989 года в Тбилиси использовался частями Советской Армии в виде спецсредства К-51. Во время паники, возникшей после взрыва нескольких газовых гранат, пострадало более 4000 человек, 543 пострадавших были госпитализированы, 18 человек погибло в результате давки.
В 2008 году тамильские повстанцы из организации «Тигры освобождения Тамил-Илама» применили слезоточивый газ CS против правительственных войск.
В 2011 году для подавления восстания в Бахрейне полиция слишком жестко использовало средства на основе CS для подавления массовых протестов. По данным независимой комиссии занимавшийся расследованием жертвами газа стали не менее десяти человек
В 2015 году газовые гранаты К-51 применялись вооружённой сепаратистской группой «Спарта» против Вооруженных сил Украина в боях за Донецкий аэропорт[53].

Соотношение имеющихся на вооружении 138 стран-членов ОЗХО различных полицейских ирритантов
Сегодня CS все еще остается самым распространенным ирритантом, по данным Организации по запрещению химического оружия (ОЗХО) в 2016 году на его долю приходилась почти половина мировых запасов средств по борьбе с беспорядками[5].
По некоторым данным, вещество CS может обладать тератогенным действием (вызывает врожденные уродства), но эта информация требует дальнейшего изучения. Начиная с 80–90-х годов прошлого века все больше вытесняется с рынка OC и PAVA.
Физико-химические свойства: Белый кристаллический порошок с острым запахом. Плавится при 94ºC, кипит при 310-315ºC с частичным разложением. Практически нерастворим в воде (0,01%), что делает дегазацию после применения CS довольно проблематичной. Применяется в виде раствора в органических растворителях: дихлорметане, метилизобутикетоне, трихлорэтане. В щелочных растворах быстро гидролизуется, при pH – 9 половина вещества разрушается в течении 1 минуты[46]. Летучесть при комнатной температуре — 0,71 мг/м3 ниже минимальньной раздражающей концентрации, но при повышенной температуре воздуха и у людей с высокой чувствительностью может появиться слезотечение при работе с пострадавшими (полиция, врачи).
Вещество CS получают реакцией о-хлорбензальдегида с малононитрилом в присутствии катализатора (пиридин, пиколин, морфолин и др.)[4,10]:
Методика разработанная в Организации Оборонных Исследований и Разработок Минобороны Индии (DRDO) позволяет получать вещество CS чистотой 99,5% при этом реакция идет при температуре не выше 50°С[44]
Клиника отравления
Глаза: При попадании аэрозоля или растворов CS в глаза через 1–5 секунд появляются слезотечение, жжение, блефароспазм (непроизвольный спазм век), светобоязнь, покраснение конъюнктивы. Раздражающее действие ощущается уже при попадании в глаза 0,1% растворов CS. Однако, эксперименты проведенные еще в 1969 году в Эджвудском арсенале (Мэриленд, США) показали, что такой концентрации CS недостаточно даже для кратковременного выведения из строя. В среднем, через 0,5–2 мин после попадания 0,1–0,25% растворов или аэрозоля CS все испытуемые, не только могли открыть глаза, но и даже способны были довольно сносно читать[13].
| Действие | Концентрация (мг·мин/м3) |
|---|---|
| Порог определения (глаза)[28] | 0,004 |
| Порог определения (дыхательные пути)[28] | 0,023 |
| Переносима в течении 90 минут | 1,5 |
| Переносится большинством людей не дольше 2 минут | 4,3–6,7 |
| ICt50 — средняя выводящая из строя концентрация* | 3–5 |
| Переносима не более 11–30 сек |
5 |
| Переносится человеком в течении 12–13 сек | 10 |
| Вызывает покраснение и сильное жжение кожи[28] | 4 440–9 480 |
| В условиях высокой температуры и влажности вызывает образование пузырей на коже (ожог II степени)[36] | 14 040–17 700 |
| LCt50 — средняя смертельная концентрация (аэрозоль)[28] | 52 000 |
| LCt50 — средняя смертельная концентрация (граната)[28] | 61 000 |
Примечание:
* На самом деле ICt50 очень сильно зависит от условий эксперимента, способа рассеивания, диаметра частиц, используемого растворителя и т.п. В сериии экспериментов проведенных армией США в 1959–1968 годах ICt50 колебалась в пределах от 0,1 до 12,4 мг·мин/м3[35].
Коэффициент безопасности (Safety factor) — отношение среднесмертельной концентрации (LCt50) к среднеэффективной (ICt50) для вещества CS равен приблизительно 6000[35].
Кожа: CS при попадании на кожу вызывает жгучую боль и покраснение. При воздействии растворов CS эритема появляется в течении нескольких минут и держится около 1 часа. Однако, приблизительно через 2 часа может появиться может развиться, так называемая «поздняя эритема», которая сохраняется от 1 до 3 суток и может сопровождаться появлением волдырей.
Влажная или потная кожа усиливают раздражающее действие. Жаркий влажный климат утяжеляет течение кожных дерматитов при поражении CS.


На фотографиях, слева — эритема через 25 часов после воздействия CS в концентрации 14 040 мг·мин/м3 в условиях высокой температуры и повышенной влажности. Справа — та же самая конечность через 45 часов после поражения[36].
Попытки смыть ирритант водой, также усиливают боль. Высокие концентрации 14–17 г/м3 вызывают образование волдырей, как при ожоге I–II степени, требующие 2-х недельного лечения. CS может вызывать контактные дерматиты.
Дыхательные пути: кашель, чиханье, жжение и выделение слизи из носа, носовое кровотечение (у 5–8% пострадавших), чувство стеснения в груди.
Пищеварительная система: слюнотечение, рвота (1–3% случаев), боли во рту. Понос у 2–3% пораженных, после воздействия CS, имеет эмоциональные причины[7].
Расчетная смертельная доза вещества CS для человека (массой 70 кг) при приеме внутрь приблизительно 14 грамм[41]. Низкую токсичность CS подтверждает тот факт, что случайный прием 850 мг CS внутрь не повлек серьезного расстройства здоровья [].
Сердечно-сосудистая система: Возникающее под воздействием ирританта чувство страха может вызвать повышение артериального давления и сердцебиение.
- Более мелкие частицы аэрозоля CS, до 1 мкм оказывают раздражающее действие преимущественно на дыхательные пути, а крупные, диаметром в несколько десятков микрон, вызывают в большей степени раздражение глаз[17].
- К действию CS может развиться привыкание. Так, при производстве CS одежда рабочих, впитавшая лакриматор, вызывала раздражение глаз у окружающих людей, в то время как сами они этого действия не ощущали.
- Раздражающее действие зависит от начальной концентрации CS и скорости ее нарастания. В одном из экспериментов несколько человек находились в помещении, внутри которого концентрация CS постепенно, в течении часа, возрастала от 0,43 мг/м3 до 2 мг/м3. Те кто смог приспособиться к начальным эффектам ирританта, в дальнейшем не ощущали значительного дискомфорта — некоторые играли в карты, а двое даже пытались читать.
- Восприимчивость к действию CS меняется в зависимости от температуры внешней среды, увеличиваясь в летнее в время и уменьшаясь на холоде. Особенно это касается кожно-раздражающего действия.
- Чувствительность людей к действию CS различна. В экспериментах, было показано, что большую устойчивость к действию CS показали испытуемые, имевшие более высокий коэффициент интеллекта[52]. Имеет значение, также цвет кожи и глаз. Люди с темным цветом кожи менее восприимчивы к кожно-раздражающему действию CS[22].
Время восстановления после воздействии выводящей из строя концентрации CS
(ICt50 — 4 мг·мин/м3)[19]
| Время после экспозиции | Состояние пострадавшего |
|---|---|
| в течении нескольких минут |
восстанавливается острота зрения |
| через 5 минут |
исчезает чувство дискомфорта в груди |
| через 10 минут |
проходят кашель и затрудненное дыхание |
| через 15 минут |
прекращается слезотечение |
| через 15 минут |
проходят раздражение кожи и повышенное слюноотделение |
| через 25-30 минут |
практически не ощущается раздражение глаз, спадает отек конъюнктивы |
| через 1 час |
исчезает покраснение краев век |
Механизм действия. Точкой приложения раздражающего действия ирритантов CN, CS и CR являются рецепторы TRPA1, которые относятся к семейству ионных каналов с Транзиторным Рецепторным Потенциалом (TRP). Этот рецептор считают ответственным за восприятия боли вызванной химическими, механическими раздражителями и холодом.
Лечение поражений
При легких поражениях раздражающими веществами типа CS самой частой рекомендацией является тщательное промывание пораженных участков тела и глаз под струей холодной воды. Если есть возможность, то вместо воды лучше использовать физиологический раствор, особенно для промывания глаз. Для лучшего удаления ирританта с поверхности кожи применяют мыло, различные моющие средства и растворы имеющие слабую щелочную реакцию (сода, щелочи).
Противоположной точки зрения на лечение поражений веществом CS придерживаются британские врачи. По их мнению, умывание водой с мылом или обильное промывание глаз водой нежелательно, так как оно только усиливает боль. В большинстве случаев достаточно поместить пострадавшего перед вентилятором, или даже просто оставить на открытом воздуе, подставив лицо ветру, чтобы ускорить естественное испарение вещества CS. И только, если последствия сохраняются дольше 30 минут, может быть рекомендован душ[6]. Очевидно, что этот метод будет более эффективен при поражении ирритантом в виде дыма или мелкодисперсного аэрозоля и почти бесполезен после применения струйных баллончиков.
Лечение отравлений веществом CS средней и тяжелой степени — симптоматическое. При поражении глаз показано непродолжительное применение глазных капель с местным анестетиком — 1% раствором дикаина или 2% раствором новокаина. При химическом ожоге роговицы, для предотвращения помутнения, рекомендуется орошение глаз растворами унитиола и тиосульфата натрия[3].
Тяжелое поражение кожи после
воздействия
французского спрея с CS
Поражение кожи раздражающими веществами типа CS лечится также как и химический ожог. Обычно, в случае простого покраснения кожи лечение не требуется. В более тяжелых случаях, местно применяют кортикостероидные мази, особенно при уплотнениях кожи, которые иногда остаются после воздействия CS и CN. При вторичном инфицировании, в результате вскрытия волдырей назначают антибиотики, мази на основе сульфадиазина серебра (дермазин, аргедин и др.). Тяжелые поражения требуют назначения кортикостероидов внутрь.
При ингаляционных поражениях в первую очередь необходимо устранить бронхоспазм с помощью аэрозольных бронходилаторов, а в случае их неэффективности может потребоваться введение аминофиллина и кортикостероидов. При тяжелых поражениях ирритантами, в случае развития отека легких не рекомендуется подача воздуха и кислородных смесей под повышенным давлением, из-за риска необратимого поражения легких. Хорошие результаты в лечении тяжелой дыхательной недостаточности, вызванной веществами типа CS и CN получены при использовании экстракорпоральной мембранной оксигенации[29].
В Советской армии при поражении боевыми ОВ раздражающего действия в качестве антидота применяли противодымную смесь (ПС) — смесь эфира, хлороформа и нашатырного спирта. Эффективность ПС вызывала серьезные сомнения и в 1981 году в качестве табельного антидота был принят препарат Фицилин[50]. Считается, что в входящий в его состав ментол дожен оказывать болеутоляющее действие на слизистые оболочки, однако в действительности он сам по себе вызывает слезотечение и используется за рубежом в средствах самообороны в качестве ирританта.
Деконтаминация
В первую очередь необходимо, как можно быстрее удалить раздражающее вещество с кожи и слизистых оболочек, обильно промывая пораженные участки под струей воды или душем (ванна нежелательна). Также, необходимо избавиться от загрязненной одежды и поместить ее в полиэтиленовый пакет, где она будет находиться до стирки.
За рубежом для дегазации иртантов CN и CS используют раствор метабисульфита натрия (Na2S2O5), который можно купить в магазинах торгующих инвентарем для домашнего пивоварения[23]. В странах бывшего СССР его можно заменить раствором аптечного тиосульфата натрия. Не рекомендуется пользоваться мазями, пока нет абсолютной уверенности, что CS полностью удален с кожи.
Достаточно эффективное и простое средство для дегазации CS и CN на основе бисульфита натрия было разработано в армии США в конце 60-х годов прошлого века. Однако, благодаря доступности и дешевизне исходных компонентов, оно не потеряло своей актуальности и сегодня. Это средство, под названием SID (Skin Irritant Decontaminant), имело следующий состав: 45% изопропилового спирта, 40% воды 10% глицерина и 5% бисульфита натрия[18].

Пищевая сода хорошо подходит для дегазации вещества CS. Кальцинированную соду лучше использовать для дегазации одежды и предметов
Кроме сульфатов для дегазации CS на кожных покровах можно использовать слабые растворы щелочей — 3% раствор кальцинированной соды (Na2CO3) или 6% раствор пищевой соды (NaHCO3). При попадании на кожу может быть рекомендована обработка места поражения смесью 5% раствора гидроокиси натрия и этилового спирта в пропорции 1:1 с последующим 20 минутным промыванием водой. При попадании в желудок — обильное промывание желудка 3% раствором пищевой соды.
Кальцинированную соду и гидроокись натрия лучше не использовать в домашних условиях — это едкие вещества и при неправильном применении могут сами вызвать химический ожог.
Категорически не рекомендуется использовать для дезактивации растворы гипохлорита натрия и другие сильные окислители, так как они реагируют с CS с образованием вещества, обладающего сильным раздражающим действием на кожу (см. ниже).
Обнаружение. Российский войсковой прибор химической разведки (ВПХР) способен определить CS в концентрации 0,002 мг/л.
Применение
Самый распространенный ирритант, используемый военными, полицией и гражданскими лицами. При содержании CS в растворе ниже 0,5% его эффективность значительно снижается, концентрации свыше 2% опасны для здоровья человека[22]. В США спреи содержат 0,2% CS, в то же время полицейские Великобритании могут применять спреи содержащие до 5% CS, почти в 25 раз больше, чем в США. Для сравнения, в РФ максимально разрешенная концентрация CS в гражданских средствах самообороны — 1,5%.
Патроны для газового оружия маркируются желтой заглушкой и содержат, чаще всего, 80 мг CS.
Гражданские средства самозащиты содержащие CS
Российские газовые баллончики производства ЗАО «Техкрим»
![]() |
![]() |
![]() |
![]() |
![]() |
![]() |
![]() |
![]() |
![]() |
![]() |
| Баллончики старого образца CS+МПК (сняты с производства) | Новая серия баллончиков CS+OS | ||||||||
Силовые структуры имеют в своем распоряжении обычно химические средства армейского образца и аэрозольные баллончики с повышенным содержанием CS — 5% и более. В России к ним относится серия баллончиков производства ЗАО "Техкрим" — "Сирень", "Резеда", и "Зверобой", причем два последних содержат сочетание CS и МПК. Аналогичная комбинация ирритантов используется для снаряжения баллончика "Терен-4М", выпускаемого украинским предприятием "Эколог" для охранных структур.
Для государственных силовых структур разработаны серии Резеда и Зверобой с максимально допустимым содержанием МПК, достигающим 2200 мг. Вся продукция производится ЗАО "Техкрим" (Ижевск)
CS может использоваться для снаряжения ранцевого аэрозольного распылителя "Облако" (АР-16). Этот аппарат предназначен для распыления на открытой местности мелкодисперсных порошков различного назначения и создания устойчивого аэрозольного облака размером 70x40x5 метров.
![]() |
![]() |
![]() |
![]() |
![]() |
| Ранцевый аэрозольный распылитель "Облако" | ||||
Вместимость резервуара 16 литров, время непрерывного выбрасывания порошкового состава 45-60 сек. Дальность распространения аэрозольного облака до 300 метров (при скорости ветра 1–4 метра/сек). Масса аппарата 8 кг. Устройство разработано НИИ Специальной техники МВД РФ.
Ручные гранаты раздражающего действия "Сирень-6", "Сирень-12". Допускается использование как на открытом пространстве, так и в закрытых помещениях. Метание осуществляется вручную или при помощи карабина КС-23 калибра 23 мм со специальной насадкой "Насадка-6" и вышибным патроном на дальность до 200 метров. "Сирень-6" и "Сирень-12" эффективно воздействуют на лиц, находящихся в состоянии алкогольного и наркотического опьянения. Длина гранаты — 75мм, диаметр — 35мм, масса 50г. Время активного газовыделения 10-12 сек. Условный объем облака с непереносимой концентрацией раздражающего вещества 16 м3 у гранаты "Сирень-6" и 160 м3 у "Сирень-12".
![]() |
![]() |
![]() |
![]() |
| Сирень-6 и Сирень-12 | Рулет-ВВ | ГНПП Базальт | Выстрелы Гвоздь и Гвоздь-Д |
60-мм ручная аэрозольная граната курящегося типа РГР «РУЛЕТ-ВВ». Предназначена для подавления психоволевой устойчивости правонарушителей или живой силы противника при проведении спецопераций и при пресечении массовых беспорядков. Конструкция гранаты обеспечивает ее вращение в процессе образования облака раздражающего вещества (CS), что предотвращает возможность её обратного заброса. Технические характеристики: Диаметр — 58 мм, Длина — 175 мм, масса — 0,3 кг, время замедления, 4 ±1 сек, время интенсивного горения пиротехнического состава — не менее 14 сек. Производитель НИИ Прикладной химии
Разработана рецептура для водометной машины «Лавина-Ураган» (на фото), состоящей на вооружении МВД России, с концентрацией 0,01-0,02% вещества CS в струе. Емкость бака 6000 литров, максимальная дальность подачи воды — 60 метров[38].
Также CS используется для снаряжения боеприпасов к различным типам газовых пистолетов, устройствам дозированного аэрозольного распыления российского производства "УДАР" и "Фиалка" и в зарубежных устройствах травматического типа — Flash-Ball, FN 303 и многих других.
На вооружении российской армии имеется весь спектр химических средств нелетального действия — от ручных гранат до 500 килограммовых кластерных авиабомб. Для снаряжения нелетальных боеприпасов могут использоваться все известные ирританты CN, CS и CR и их комбинации. Основным производителем данного вида вооружения является ФГУП «ГНПП «Базальт».
500 кг авиационная
кластерная бомба
Пиротехнический генератор
(вертолеты МИ-8МТ и МИ-24)
30 мм граната для
гранатомета АГС-17
82 мм мина
для минометов
2Б-14
Согласно "Конвенции о запрещении разработки, производства, накопления и применения химического оружия и о его уничтожении", которую Россия подписала в 1997 году, не допускается применение ОВ раздражающего действия во время ведения военных действий. Однако, в ходе военных операций часто возникают ситуации, когда вспыхивают массовые беспорядки среди местного населения и когда только применение нелетальных химических средств может предотвратить убийство мирных жителей. Кроме того, нелетальные боеприпасы могут применяться войсками в ходе антитеррористических и миротворческих операций, для противодействия морскому пиратству.
Из десяти синтезированных Corson B. и Stoughton R. в 1928 году соединений наиболее выраженное раздражающее действие проявляли p-метокси-, p-гидрокси и o-хлор — бензилиденмалононитрилы[40].
В 1956–1957 годах в Экспериментальный НИЦ химической защиты (CDEE) провели испытания на людях 91 кандидатов на замену устаревшему хлорацетофенону[45]. Первоначально британские химики отдавали предпочтение о-нитропроизводному, но из-за его слишком «агрессивного» действия, все же остановили свой выбор на CS[24]. Интересно, что 2-F аналог вещества CS не вызывает слезотечения, но сильно раздражает горло[49].
C начала 50-х годов ведется активная работа по поиску более эффективных ирритантов этой группы. Так, к 1966 году канадскими химиками было синтезировано и изучено 327 производных бензальмалононитрила и других близких по строению соединений[26].
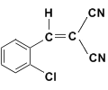
В 1973 году Y. Alarie опубликовал данные об активности 27 респираторных ирритантов содержащих C=C(CN)2 группу. Среди полученных соединений только семь превосходили CS в тесте респираторной депрессии у мышей (слева направо в порядке возрастания активности).[25]
Соедиения Y. Alarie (1973)
Как удалось выяснить Y. Alarie, замена динитрильной группы на нитрогруппу усиливает активность ирритантов этой группы, а наиболее выраженным раздражающим действием в этой серии обладал β-нитростирен. В последующих экспериментах на животных высокая активность была обнаружена и у других нитростиренов, в частности у 2-хлор-3,4-диметокси-ω-нитростирена[27].
![]() |
![]() |
![]() |
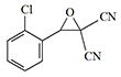
| Нитростирены | Оксиран CS | |
При попытках использовать гипохлориты для дегазации CS образуется 2,2-дициано-3-о-хлорфенил оксиран, обладающий сильным кожно-раздражающим действием. В 1963 году C.L. Punte сообщил о развитии ожогов I-III степени после нанесения на кожу добровольцев смеси CS и гипохлорита натрия[18].
Одно время оксиран CS даже рассматривался в качестве потенциального боевого отравляющего вещества кожно-нарывного действия[20,21].
В одном из недавних исследований (Munavalli S. et al., 2002) была предпринята попытка синтезировать более активные и безопасные ирританты на основе фторпроизводных CS. Некоторые из полученных соединений обладали более выгодными физико-химическими характеристиками, чем CS, но, к сожалению, конкретных данных о токсичности в работе не приведено.
Соединения S. Munavalli (2002)
Довольно неожиданным результатом этих экспериментов, оказалась очень высокая раздражающая активность о-фтор- и о-(трифторметил)- бензальдегидов, использовавшихся в качестве исходных реагентов в синтезе. Подобно CS их действие кратковременно и обратимо, а сами ирританты легко смываются водой с мылом[14].
Следующая группа из 21 производного CS была синтезирована Munavalli S. в 2007 году. Ожидается, что новые CS-аналоги будут более мощными и более летучими чем CS[42].
В 2005 году Организация Оборонных Исследований и Разработок Минобороны Индии (DRDO) провела испытания на животных 16 производных вещества CS. Из них только пара-бром-CS немного превосходил по раздражающему действию исходное вещество[31].
Для рассеивания CS могут быть использованы аэрозольные и пиротехнические устройства, взрывчатые вещества и водяные пушки (водометы)
Пиротехнические средства. CS устойчив к действию высокой температуры и детонации, что позволяет применять его для снаряжения снарядов, патронов и пиротехнических средств. Первые газовые гранаты с CS имели следующий состав: 35% лакриматора o-хлорбензилиденмалононитрила, 30% окислителя (хлората калия), 30% топлива (сахароза) 3% стабилизатора (окиси цинка) 2% абсорбента (каолин)[12]. В дальнейшем на смену хлоратам пришли составы на основе нитроцеллюлозы. Для перевода CS в аэрозольное состояние могут использоваться различные взрывчатые вещества — тротил, тетрил, гексоген и др. Содержание ирританта в такой смеси, обычно, не превышает 50-75%.
C. D. Hassell в 1992 году предложил двухкомпонентный состав, состоящий из CS и 3,3-бис(азидометилоксэтан) в пропорции 60:40. При горении этой смеси образуются мелкодисперсный аэрозоль ирританта и нетоксичный азот, а низкая температура горения пиротехнической смеси уменьшает риск возникновения пожаров. Состав может использоваться для наполнения, например, 40 мм гранат M651[11]
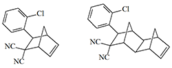
Представляют интерес, продукты конденсации CS с циклопентадиенами. При обычных условиях это стабильные нераздражающие вещества, не требующие при работе с ними специальных средств защиты.
При нагревании до 220ºC эти соединения разлагаются с выделением CS[9].
Порошковые формы. В середине 60-х были разработаны гидрофобные микрокапсулированные композиции CS-1 и CS-2 на основе соединений кремния. CS-1 и CS-2 создавались в первую очередь для устройств взрывного распыления. CS измельчался до размера частиц 5-10 микрон и перемешивался с коллоидной окисью кремния, частицы которой были почти на два порядка меньше — 10-50 миллимикрон. Таким образом частица CS оказывалась частично или полностью покрыта защитным слоем. Рецептуры CS-1 и CS-2 содержат около 5% силикагеля и представляют собой мельчайший порошок, напоминающий тальк. Легко переносятся ветром. Их эффективность на местности сохраняется от 2 недель (CS-1) до полутора месяцев (CS-2)[8]. Необработанный CS разрушается за 5 дней.
Растворы и жидкие рецептуры. CSX — раствор CS в триоктилфосфате (TOF) в пропорции 1:99, применяется химической службой армии США в качестве иммитационно-тренировочного ОВ.
Интересный способ вторичного рассеивания в CS-2 был разработан в конце 60-х годов. Суть этого метода состояла в том, что для снаряжения авиабомб и распылителей использовать не чистый CS-2, а гранулы состоящие из CS-2 и карбида кальция, которые постепенно реагируют с атмосферной влагой и переводят ирритант в аэрозольную форму, что позволяет более равномерно и на больший срок заражать местность[15].
Бинарный CS рассматривался в США как средство длительного, до полугода, заражения подземных тоннелей. Однако, эксперименты по его созданию, проводимые Лабораторией сухопутных войск армии США, закончились неудачей[54]. Сеть тоннелей, протяженностью около 150 км позволяла вьетконговским партизанам наносить скрытые удары и совершать диверсии против американских войск. В тоннелях размещались казармы, склады и госпитали.





















