Ирританты разных групп
Разработка и испытание ирритантов в Эджвудском арсенале в 60–70-х годах
Большая часть исследований по изучению ОВ раздражающего действия была проведена в 60-х годах прошлого века. Война во Вьетнаме, где в огромных масштабах применялись раздражающие ОВ, массовые антивоенные акции протеста, для разгона которых полиция часто применяла слезоточивый газ, все это требовало нового подхода к разработке ирритантов для внутреннего и внешнего использования.
Основная научно-исследовательская работа была посвящена изучению пяти табельных ОВ раздражающего действия (CN, CS, CA, PS и DM) и трёх новых в те годы − CH, CR и MPA. О масштабах проведенных исследований можно судить уже по тому факту, что в испытаниях приняли участие более 1500 добровольцев. Химическая служба США занималась интенсивными поисками новых более эффективных ирритантов, но работа тормозилась из-за отсутствия подходящей методики предварительного тестирования на животных.
В середине 60-х годов Y. Alarie разработал довольно простую методику оценки ингаляционного воздействия ирритантов, которая позволяла по изменению частоты дыхания лабораторных мышей, достаточно точно предсказать насколько будет выражено раздражающее действие этого вещество на человека[2].
Определение эффективной концентрации ирритантов на добровольцах в Эджвудском арсенале
Ирританты оказывающие выраженное раздражающее действие на человека в концентрации менее 40 мг•мин/м3. Эффект оценивался по интенсивности болевой реакции со стороны глаз, носа, горла и кожи лица. Вещества разделены на две группы.
- Не уступающие по раздражающему действию табельным раздражающим ОВ (помечены на рисунке синим цветом).
- Эффективные в низких концентрациях, но оказывающие менее выраженное действие чем CN, CS и адамсит (помечены черным цветом)[1].
118539 — лакриматор, вызывает слезотечение с последующим тяжелым конъюнктивитом, слюноотделение, раздражение носа, стеснение в груди и кашель. Испытания в 1963 году (2 человека)
123175 — лакриматор, вызывает слезотечение и закрытие глаз в течение нескольких минут после прекращения воздействия. Испытан в 1965 году (8 человек)
126312 — ирритант, эффект сопоставим с CS[4]
EA 3365 — ирритант, эффект сопоставим с CS[4]
CS36579 — вызывает боль в глазах, обильное слезотечение, закрытие глаз и недееспособность, которая длилась несколько минут после прекращения воздействия, раздражение слизистой носа и одышку. Испытания в 1966 году (12 человек) .
EA 2366 — вызывает слезотечение и конъюнктивит, раздражение дыхательных путей, одышку и тошноту. Испытания в 1966 году (2 человека).
EA 2097 (безилиден малононитрил, CS14632), EA 2214, 118609, 119400, CS36273, CS42985 и CS4332 — вызывают чувство стеснения в груди и одышку
EA 2129, EA 3437, CS5635, CS42818, CS24302, CS41458, CS42822, CS42984, CS43010, CS43109 — ирританты верхних дыхательных путей, вызывают раздражение слизистых оболочек носа и горла, кашель.С помощью этой методики Химический корпус армии США ежегодно проверял на наличие раздражающих свойств тысячи химических соединений, а самые перспективные из них отбирались для дальнейшего испытания на людях в научно-исследовательской лаборатории Эджвудского арсенала. За десять лет, с 1962 по 1972 годы, было отобрано и испытано 123 таких вещества, но ни одно из них не оказалось достаточно эффективным, чтобы заменить уже имеющиеся табельные раздражающие ОВ[3].


Современная плетизмографическая установка для измерения респираторной депрессии (RD50)
В 60–70-х годах, несмотря на обширные исследования, проводившиеся в США и Великобритании, так и не был найден ирритант, который превосходил бы по совокупности физико-химических и токсикологических характеристик уже известные и проверенные CS и CR. После окончания химической программы США и ужесточения требований к экспериментам над добровольцами, количество опытов с раздражающими веществами значительно сократилось и поиск новых ирритантов для борьбы с беспорядками фактически полностью прекратился. Плетизмографический метод определения респираторной депрессии RD50 у грызунов и сегодня остается основным способом количественной оценки эффективности сенсорных ирритантов.
CS 815799 и азабутадиены
CS 815799. Симметричные диимины синтезированы в 1970 году J.M. Kliegman и R.K. Barnes в ходе реакции глиоксаля с соответствующим первичным амином. Раздражающее действие этих веществ было обнаружено случайно, когда во время фильтрации трет-бутилового производного, которая проводилась в вытяжном шкафу с соблюдением всех норм предосторожности, у экспериментатора внезапно появились слезотечение, кашель и желудочные колики. Все эти симптомы без видимых последствий исчезли в течении 5 минут. Наиболее выраженным раздражающим действием обладают третбутиловое (CS 815799) и изопропиловое производные[1–3].
![]() |
![]() |
![]() |
| Вещество CS 815799 (слева) и его изопропиловый аналог (справа) |
Ирритант из группы азабутадиенов |
|
Раздражающие диимины — это твердые летучие вещества с низкой температурой плавления (40–50ºC).
В 1972 году действие вещества CS 815799 было испытано на добровольцах в Эджвудском научно-исследовательском центре. Новый ирритант не обладал какими-либо выдающимися характеристиками — концентрация 50 мг·мин/м3 вызывала раздражение глаз и дыхательных путей средней интенсивности. Кожная реакция при нанесении 1% растворов CS 815799 также была умеренно выраженной. Кроме того, у CS 815799 было отмечено побочное гепатотоксическое действие, хотя и полностью обратимое[6].
Несмотря на обнаруженные недостатки, в 1981–1983 годах в США продолжалось изучение родственных соединений из класса азабутадиенов в качестве возможных полицейских и(или) тренировочных химических агентов[4]. В частности, в Абердинском военном научно-исследовательском центре (Мэриленд, США) занимались изучением связи между строением и раздражающим действием азабутадиенов, среди которых наибольшая активность обнаружена у изобутилового производного[5].
RD50 — концентрация ирританта в мг/м3 снижающая частоту дыхания у мышей на 50%. В большинстве случаев, такая концентрация оказывает на человека выраженное или непереносимое раздражающее действие (Y. Alarie, 1973). Однако, в случае с CS 815799 эта закономерность не работает, вещство оказалось значительно слабее, чем CS и CR. Данные об ингаляционной токсичности для человека остальных ирритантов не публиковались.
Диимины
26,00
7,00
2,50
1,20
Азабутадиены
7,5
5,0
3,56
1,8
35,0
17,0
15,2
Для сравнения: RD50 для вещества CS — 9,16 мг/м3, для вещества CR — 2,0 мг/м3.
Организация по запрещению химического оружия относит вещество CS 815799 к химическим средствам борьбы с беспорядками (RCA), которые разрешено использовать только правоохранительным органам. Страны-участники Конвенции о запрещении химического оружия обязаны сообщать о наличии у них на вооружении этого вещества[7]. Вероятно, интерес к этому ирританту вызван доступным и недорогим способом его получения в одну стадию из глиоксаля и соответствующего амина.
DRC-5593 и производные циклогексиламина
DRC-5593 (N-(4-(циклогексилметил)циклогексил)ацетамид) был синтезирован в 60-х годах компанией Du Pont. Вещество обладало чрезвычайно жгучим вкусом и его планировали использовать в качестве репеллента для отпугивания различных животных, причиняющих ущерб сельскому хозяйству — от домовых мышей до койотов. Так как Du Pont был одним из ведущих подрядчиков Министерства обороны США в области разработки химического оружия, не исключалось использование нового ирританта в качестве «полицейского газа» нового типа.
В 1967–1968 годах было синтезировано большое количество производных N-ацетилциклогексиламина, многие из которых оказывали выраженное раздражающее действие на животных. Так как новые ирританты обладали высокой летучестью при комнатной температуре, методика испытания была очень простой — животным просто давали понюхать препарат. Достаточно было поднести к морде собаки фильтровальную бумагу пропитанную всего 2 мг препарата, чтобы у животного появились признаки раздражения дыхательных путей, слюнотечение и сильное беспокойство. Наиболее активные из испытанных таким образом веществ отбирались для дальнейшего изучения ингаляционной токсичности в затравочных камерах[1–18].
DRC-5593
Наиболее активный из полученных ирритантов DRC-5593 в эксперименте на животных оказался на порядок мощнее CN и CR[25], а действие его продолжалось дольше. О действии на человека известно лишь, что даже небольшая концентрация паров DRC-5593 вызывает сильное жжение в носу и грудной клетке, кашель и чиханье[19].
| Вещество | RD50 (мг/m3) |
|---|---|
| Вещество CR | 2,0 |
![]() |
2,20 |
![]() |
4,20 |
![]() |
7,80 |
| Вещество CS | 9,16 |
| Капсаицин | 10,35 |
![]() |
11,40 |
![]() |
13,20 |
| DRC-5593 | 44,70 |
![]() |
58,00 |
Формула |
Минимальная |
|---|---|
![]() |
2 мг |
![]() |
2 мг |
|
5 мг |
![]() |
5 мг |
![]() |
5 мг |
![]() |
10 мг |
![]() |
10 мг |
Вероятно, с целью создания вещества обладающего одновременно свойствами ирританта и «усыпляющего газа» был синтезирован оксазолиновый аналог DRC-5593. Это соединение, помимо раздражающего действия на глаза и органы дыхания, вызвало у животных угнетение ЦНС и мышечную слабость[18].
Считается, что ирританты этой группы слишком токсичны, чтобы их можно было использовать против человека[1]. Тем не менее, Организация по запрещению химического оружия внесла DRC-5593 в список из 17 потенциальных химических средств для борьбы с беспорядками. Кроме применения в качестве «полицейского газа», DRC-5593 может быть полезен для защиты овец от нападения койотов или для протравливания зерна[24].
В начале 70-годов компания Du Pont, вероятно, все еще продолжала разработку средств борьбы с массовыми беспорядками, на этот раз из группы трифторметильных производных кетонов и диоловых спиртов.
Данных о токсичности этих ирритантов для человека нет, однако известно, что один из представителей этой группы — перфторпинакол (F3C)2C(OH)—C(OH)(CF3)2, чрезвычайно ядовит, одна капля нанесенная на кожу, вызывает гибель морской свинки. Химики из Du Pont, синтезировавшие почти полкилограмма этого вещества, чудом не пострадали, прежде чем оно было уничтожено[5].
Полученные вещества вызывали раздражение глаз и верхних дыхательных путей у животных (мышей, крыс, обезьян). По мнению разработчиков, эти ирританты «могут быть использованы для противодействия массовым беспорядкам, борьбы с грызунами и в системах охранной сигнализации»[1-4].
Вещество EA 2542 и галогенацетамиды
EA 2542 (2-бром-N-(2-бромэтил)ацетамид) — это еще один пример алифатического соединения, которое несмотря на достаточно простое строение обладает выраженным раздражающим действем[1]. В Эджвужском арсенале дважды проводили испытания EA 2542 на добровольцах — в 1963 и 1969 годах[2].
EA 2542
В концентрации 30–66 мг•мин/м3 вещество вызывало раздражение глаз, носа, горла и области вокруг глаз. Каких-либо последствий воздействия EA 2542 на здоровье испытуемых не отмечалось[3]. Так как EA 2542 по своему раздражающему действию уступает современным ирритантам CS и CR его дальнейшее изучение не проводилось.
Испытания производных галогенамидов в качестве ОВ раздражающего действия проводились Военно-химической службой США вскоре после Первой мировой войны. Один из первых ирритантов этой группый 2'-хлор-2-хлорацетанилид оказывал на кожу выраженное раздражающее действие, хотя и уступал уже известным кожно-нарывным ОВ[3]. В 40-х годах с веществами этой группы работал известный немецкий военный химик H. Brintzinger[4]. В 1960–70 годах в Эджвудском центре химических исследований, разработок и технологий (ERDEC) проводились эксперименты по оценке раздражающего действия на человека по крайней мере двух веществ этой группы — 2-хлор-N-4-хлорбензилацетамид и 2-бром-N-2-бромэтилацетамида (шифр EA 2542). Еще один экспериментальный ирритант N-бензилпентафтор пропионамид в экспериментах на животных всего в 2 раза уступал CS по раздражающему действию на верхние дыхательные пути, но как он действует на человека неизвестно.N-(4-трет-бутилциклогексил)дихлорацетамид показал себя, как сильный и стойкий репллент против собак, грызунов, оленей и других животных[7], но оказался слишным токсичным для человека[8].
|
![]() |
![]() |
![]() |
| 2-хлор-N-(2-хлорфенил) |
2-хлор-N-фенил |
N-бензилпентафтор |
N-(4-трет-бутилциклогексил) дихлорацетамид |
С сильным раздражающим действием 2-хлор-N-фенилацетамида столкнулись работающие с этим веществом химики. Вот как описывает его эффекты человек, которому не посчастливилось испытать на себе его действие:
«Невероятный ирритант. Кристаллы похожи на оные салициловой кислоты. С ним вы сначала наплачитесь, потом около четырех часов побегаете (по стенам и потолку в том числе), ну и в качестве бонуса около 5 часов почешетесь. Действие снимается раствором аммиака. Серьезной ошибкой будет попытка смыть его водой с мылом или спиртом — эффект только усилится»[5].
Гораздо больший интерес представляют гомологи и хлорпроизводные 2-хлор-N-фенилацетамида, такие 2-хлор-N-фенил-нонамид и HPMC которые в опытах на животных показывают активность сопоставимую и даже превосходящую таких известных ирритантов, как вещества CS и CR[6].
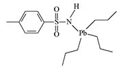
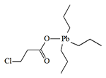
Органические производные свинца

Впервые с раздражающим действием фторированных производных триалкилсвинца столкнулись немецкие химики Э. Краузе и Э. Поланд (E. Krause, E. Pohland) в 1922 году. Из-за сильного раздражающего действия этих веществ на органы дыхания и глаза, ученые были вынуждены во время работы с ними одевать противогаз. За малейшую невнимательность приходилось расплачиваться головной болью, тошнотой и хроническим насморком. В 1925 году два американских химика в своей статье жаловались, что галогенацетаты триэтилсвинца вызывали у них сильное чиханье и что с ними «практически невозможно обращаться, не испытывая значительных неудобств»[10].
Когда в начале Второй мировой войны Великобритания столкнулась с проблемой дефицита мышьяка, сырья необходимого в производстве таких отравляющих веществ, как адамсит, дифенилхлорасин, люизит, британские химики из Кембриджского университета вспомнили о мучениях своих немецких коллег. Группа под руководством Б.С. Сондерса (B. C. Saunders) синтезировала и испытала на добровольцах большое количество свинецорганических раздражающих веществ, и которые, как оказалось, действуют на человека ничуть не хуже своих мышьякорганических конкурентов. Эти вещества относятся к классу стернитов, или как их принято сейчас называть — назальных ирритантов, и поражают преимущественно верхние дыхательные пути, вызывая у человека мучительные приступы кашля, непрерывное чиханье, сильные боли в горле и деснах, чувство стеснения в груди. Кроме того, некоторые химики, работающие с этими веществами, жаловались на жжение кожи лица и пальцев. Слезоточивое действие у свинецорганических ирритнтоа сравнительно слабое.
![]() |
![]() |
![]() |
Некоторые из производных трипропилсвинца тестировавшихся на людях в 50-е годы в Великобритании
Тем временем за океаном, американские коллеги из университет Айовы также трудилсь над синтезом новых мощных ирритантов на основе органических соединений свинца[7]. Программу возглавил доктор Г. Гилман (H. Gilman), который еще в начале 30-х годов испытал на себе все «прелести» работы со свинецорганикой, когда на ее основе пытался создать лекарство для лечения онкологических заболеваний. Во время приготовления препаратов он и его сотрудники непрерывно кашляли, чихали, плакали и непрерывно сморкались. Тогда же Г. Гилман описал необычное действие соединений свинца на лабораторных животных, которые после инъекции препарата на целый месяц становились «чрезвычайно возбужденными, драчливыми и атаковали друг друга по малейшему поводу или при громком звуке»[6]. Всего было синтезировано и испытано 84 соединения органических производных свинца, но ни одно из них не имело явных преимуществ перед уже известными раздражающими ОВ[7,8].
Когда в конце 50-х годов Военное министерство Великобритании решилось заменить хлорацетофенон на более эффективный и безопасный CS, это считалось временной мерой, так как эффекты CS были недостаточно продолжительными. И тогда, в 1958 году вновь вспомнили о производных свинца. Для испытаний на добровольцах были отобраны восемь наиболее мощных из известных свинцовых ирритантов, которые по эффективности не уступали «полицейскими газам» того времени — концентрацию всего в несколько миллиграмм на кубический метр больше минуты вытерпеть было практически невозможно. И хотя повторные испытанные показали более длительную утрату боеспособности, чем после воздействия CS, в целом, их раздражающее действие было слабее, чем у CS[9].
Еще одной проблемой свинецорганических ОВ стали трудности их боевого применения — при возгонке они разрушались с образованием токсичных свинцовых или свинцово-оксидных дымов[7].
В одной химической подгруппе со свинцом находится и олово. В период между двумя мировыми войнами во Франции проводились физиологические исследования системной токсичности йодида трибутилолова и триметил пропил олова[12]. В годы Второй мировой войны галогенорганические производные олова изучались в токсикологической лаборатории Чикагского университета, занимавшейся разработкой химического оружия. Изученные соединения оказывали выраженное раздражающее и кожно-нарывное действие, однако для достижения токсического эффекта требовались концентрации выше 1000 мг/м3[13].
Соединения селена и теллура

Селеноводород (H2Se) — бесцветный газ с отвратительнейшим запахом гнилой редьки, к которому нос человека очень быстро привыкает и через некоторое время перестает ощущать, причем этот запах ощущается при концентрации, которую нельзя определить даже аналитическими методами. При концентрации селенистого водорода свыше 5 мг/м3 возникает сильнейшее раздражение глаз и дыхательных путей. Если не принять мер безопасности, то дальнейшее пребывание в отравленной атмосфере приведет к более серьезным последствиям, в виде тошноты, рвоты, головокружения, металлического привкуса и неприятного чесночного запаха из рта. После окончания Первой мировой войны проходили испытания в качестве потенциальных БОВ в Эджвудском арсенале селеноводород (G-266), селенид алюминия (G-262) и метилселенид (G-115).
Еще большей токсичностью обладает оксохлорид селена (SeOCl2). Он хорошо проникает через кожу и попадание на кожу кролика нескольких капель жидкого оксихлорида селена может оказаться смертельным для животного. Описан случай, когда нанесенные на кожу человека 0,005 мл оксохлорида селена вызвало болезненный отек и ожог, заживление которого длилось месяц[1]. Даже пары этого вещества способны вызвать покраснение, отек и образование пузырей на коже[2]. Не исключалось использование оксохлорида селена в качестве химического оружия[3].
В годы Второй мировой войны в США изучалась возможность боевого применения оксида селена (SeO3) в виде дыма или паров. Он имел некоторые преимущества перед другим кандидатом в БОВ — оксидом кадмия, который по токсичности не уступал, а может быть даже превосходил фосген. Оксид селена действовал быстрее и вызывал раздражение органов дыхания, но уступал солям кадмия по токсичности. Селен и кадмий планировалось добавлять в состав зажигательных термитных составов[7].
В СССР в 30-е годы велись работы по изучению селенового иприта, однако вскоре выяснилось, что он, как и другие аналоги иприта (фторный, бромный, селеновый), «практической ценности для использования в РККА не имеют»[5].
Многие органические соединения селена имеют неприятный запах ощутимый уже в концентрации 0,00014 мг/м3 (этилселенмеркаптан).


Диэтилтеллур. (C2H5)Te. Впервые диэтилтеллур получил Фридрих Велер в 1840 году. Диэтилтеллур — красновато-желтая жидкость с чесночным запахом и кипящая при 138°С, нерастворимая в воде. Горючая, на воздухе возможно самовозгорание, а при контакте с водой есть опасность взрыва. В 1930–40-х годах диэтилтеллур изучался в качестве потенциального БОВ[3].
В январе 1942 года начальник разведывательного управления Генштаба Красной армии получил шифровку от резидентуры в Швейцарии, в которой говорилось, что в Германии усиленными темпами ведется подготовка к химической войне. Согласно информации, добытой у шефа службы противохимической защиты в швейцарском военном министерстве, «немцы в больших количествах изготовляют следующие ОВ: иприт, фосген, дифосген, дифениларсинцианид, формилхлоридидоксид(?), какодилизоцианид, теллурдиэтил, нитрозилфлуорид, этиларсин хлорид»[4].
Органические соединения сурьмы и висмута

Сурьма и висмут входят в одну химическую подгруппу с мышьяком и оказывают сходное с ним токсическое действие на организм человека. В случае дефицита мышьяка в стране отравляющие вещества на их основе смогли бы стать достойной заменой. Поэтому в СССР в 1932 году под руководством профессор А. Н. Несмеянова была начата работа по поиску потенциальных ОВ среди органических производных сурьмы. Так как исследования велись в обстановке строгой секретности, о результатах этой работы известно мало. Согласно данным Л. А. Федорова, в 1939 году Красная армия проводила испытания дифенилхлорстибина — стернита, не уступающего по раздражающему действию своему мышьякорганическому аналогу. Еще одно ОВ этой группы — трифенилсурьма «рассматривалось как элемент системы химического вооружения в 1940 году»[6]. Об этом соединении известно лишь, что оно вызывает у человека раздражение глаз, кожи и ларингит.
дифенихлорвисмут
трифенилсурьма
дифенилхлорстибин
В Великобритании и США, упомянутые выше Сондерс и Гилман, в годы Второй мировой войны синтезировали и изучили токсические свойства висмуторганических ирритантов, некоторые из которых оказались даже мощнее стернитов времен Первой мировой войны, но для боевого применения все же не годились[11].


















