Вещество BZ (Би-Зет)

750-фунтовая кассетная бомба M43 заполненная 57 бомбами M138
Вещество BZ (3-хинуклидинил бензилат) — психохимическое отравляющее вещество вызывающе делирий (лат. delirium «бред») — психическое расстройство, основными симптомами которого являются галлюцинации, дезориентация, нарушения внимания и амнезия.
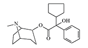
BZ, 3-хинуклидиловый эфир бензиловой кислоты
QNB, ЕА 2277, CS 4030 CS 123669 (США), T2532 (Великобритания), «agent buzz»
Вещества подобного действия называют делириантами, по механизму действия они относятся к антагонистам мускариновых рецепторов (μ-холиноблокаторам).
История создания и применения Вещества BZ
1951 год L. H. Sternbach, S. Kaiser из фармацевтической компании La Roche впервые синтезировали и описали спазмолитическое действие препарата Ro 2-3308, под этим внутренним шифром проходил 3-хинуклидинил бензилат[40].
1952 год. По одной из версий, история открытия галлюциногенного действия вещества BZ очень напоминает случай с открытием LSD-25. В 1952 году один из сотрудников фирмы La Roche случайно принял 0,5 мг нового экспериментального средства для лечения язвы желудка, после чего у него развился тяжелый психоз. Полностью несчастный химик пришел в себя только на четвертый день. Позже выяснилось, что причиной отравления был 3-хинуклидинил бензилат, но особого внимания этому инциденту не уделили[26].
1955 год. J. H. Biel, занимавшийся разработкой спазмолитиков для лечения язвенной болезни желудка, синтезировал ряд 3-пиперидилбензилатов, у которых во время клинических испытаний обнаружилось необычное побочное действие в виде галлюцинаций[36]
1958 год. J. H. Biel и L. G. Abood публикуют статью «Новая группа психотомиметических веществ», где подробно описывают действие пиперидилгликолатов на психику человека. Синтезированные ими вещества JB-318 и JB-336 в дозе 5–15 мг вызывали у человека красочные визуальные галлюцинации длительностью до 10 часов[37]. J. H. Biel использовал для производных 3-пиперидилбензилатов обозначения Agent BA, BB, BC ... и так до Agent BT, аббревиатура BZ в опубликованных им работах не встречается[60]. L. G. Abood продолжал сотрудничество по инкапаситантам как минимум до 1990 года[61]. Статья послужила мощным стимулом для изучения антихолинэргических препаратов военно-химическими лабораториями во многих странах мира, а препарат JB-336 позже даже принят на вооружение армией ЮАР.
1958 год. Эджвудский Арсенал запрашивает у фармацевтических и химических компаний информацию или образцы химических веществ с мощным и необычным действием на психику человека. Фирма Hoffmann-La Roche отправляет в военно-химический центр образец препарата 3-хинуклидинил бензилат, ставший причиной токсического психоза у одного из сотрудников. Позднее это вещество присвоят военный шифр BZ.
1959 год. По инициативе Министерства обороны США в средствах массовой информации развернута пропагандистская компания по подготовке общественного мнения к принятию на вооружение «гуманного» психохимического оружия, в качестве альтернативы летальным видам оружия. Эта компания получила кодовое название «Операция Голубые Небеса». В этом же году начаты эксперименты по воздействию BZ на человека, в которых с 1959 по 1975 год приняли участие 292 добровольца.
1962 год. В советском журнале «Фармакология и токсикология» опубликована статья М. Д. Машковского и К. А. Зайцевой в которой приводятся результаты экспериментов на животных с веществом 3-хинуклидинил бензилатом и отмечается его высокая холинэргическая активность[28].
В этом же году в Арсенале Пайн-Блафф (штат Арканзас, США) начато промышленное производство вещества BZ. Всего в Пайн-Блафф будет произведено 50 тонн BZ, из них на вооружение будут приняты только 40 тонн, оставшиеся 10 тонн предназначались для испытаний. Такого количества вещества BZ хватило бы для нейтрализации живой силы на площади 10 км2 в городских условиях или 32–40 км2 на открытой местности[58].
1963 год. По инициативе КГБ, в гонку психохимических вооружений с небольшим опозданием включается СССР. Совет Министров СССР издает постановление об организации промышленного выпуска психотропных веществ (инкапаситантов) для обеспечения нужд армии и госбезопасности на базе опытного производства ГосНИИОХТа (Шиханы, Саратовская область).
1964 год. Генерал-лейтенант William D. Dick, возглавлявший отдел исследований и разработок армии США, предлагает применить вещество BZ против экипажей советских траулеров у берегов Аляски. Но, так как действие BZ на человека было недостаточно изучено и он еще не прошёл полевых испытаний, от этой бессмысленной и опасной авантюры пришлось отказаться[51].
1966 год. Французский журналист Pierre Darcourt сообщает о фактах применении гранат с веществом BZ во Вьетнаме в ходе операции под кодовым названием «Белое Крыло». Официальные представители Министерства обороны США не подтверждают данную информацию, утверждая, что BZ никогда не использовался для снаряжения гранат. На самом деле, под BZ планировалось использовать 40 мм гранату, но в 1965 году разработка была прекращена[49].
1968 год. Начинаются испытания на добровольцах нового перспективного ОВ из группы холиноблокаторов — вещества EA 3834, которое должно прийти на смену уже успевшему устареть BZ. Исследования будут продолжаться до 1974 года и в них примут участие 156 человек[51].
1969 год. Армия США официально отказывается от применения вещества BZ из-за «непредсказуемости воздействия, длительного периода времени до начала реакции и неэффективности существующих боеприпасов»[51].
1975 год. В Национальном исследовательском центре Арабской Республики Египет во второй половине 70-х ведутся эксперименты с галлюциногенами JB 318, EA 3443, EA 3167 и BZ[34,50].
1979 год. В журнале «Science» опубликована статья, в которой описано, как любой гражданин США может легко получить вещество BZ, заказав его в фармацевтической компании Hoffmann-La Roche[6].
1980 год. Югославия становится еще одной страной имеющей в своих арсеналах вещество BZ. В военно-химическом центре в г. Мостар освоено лабораторное производство BZ. Установка функционировала в течении четырех лет и первоначально была способна производить лишь 5 кг BZ в сутки[17].
1989 год. В Арсенале Пайн-Блафф начата утилизация запасов BZ. За 27 лет в химических арсеналах США было накоплено 50 тонн BZ. К январю 1990 все запасы BZ были уничтожены и завод по его производству закрыт.
1990–1991 годы. Война в Персидском заливе. В 2001 году W. Basson, возглавлявший химическую программу ЮАР, сделал заявление о применении армией США одной из модификаций BZ во время войны в Персидском заливе. Заключение было сделано на основе анализа видеоматериалов, на которых запечатлены изменения мимики и походки, характерные для отравления этим ОВ. Кроме того, BZ будто бы был обнаружен в образцах мочи[47]. Он также утверждал, что вещество BZ применялось в Афганистане, Камбодже и во время Ирано-Иракской войны[46]. Учитывая сомнительную репутацию W. Basson, это заявление серьезно не рассматривалось.
1992 год. Более 4 тонн вещества BZ было принято на вооружение Южно-Африканских сил обороны (SADF)[46].
1992 год. Сообщения в СМИ о применении BZ или аналогичного ОВ войсками ЮАР против батальона Мозамбикского национального сопротивления (RENAMO). Согласно заявлению мозамбикской стороны, в ходе инцидента пострадало более 300 солдат. Однако, последующий химический анализ не обнаружил в образцах следов гликолатов, ФОС или других химических агентов. По мнению экспертов ООН, причиной психических нарушений, вероятнее всего, было обезвоживание организма.[35].
1995 год. Сообщения в СМИ о применении BZ Югославской народной армией (ЮНА) против косовских албанцев в Сребренице. В июле 1995 года около 15 000 человек попытались прорваться из анклава Сребреницы на территорию Боснии. Две трети из них были схвачены или убиты. Многие из оставшихся пережили галлюцинации во время длительного перехода, и утверждали, что они стали жертвами химического оружия[39]. Вещество BZ действительно состояло на вооружении ЮНА, в частности, в 80- и 120-мм минометных минах[17], однако более вероятной причиной появления массовых галлюцинаций были непрерывные артиллерийские обстрелы, бессонница, голод и жажда[39].
Четвертичный аналог BZ (Clidinium bromide, Librax) — известный лекарственный препарат для терапии язвенной болезни и энтероколитов. Помимо язвенной болезни, были попытки использовать 3-хинуклидинил бензилат для лечения паркинсонизма, однако при приеме 0,3 мг в сутки у трети пациентов появились выраженные побочные эффекты. 3-хинуклидинил бензилат продолжает широко применяться в экспериментальной медицине.
Физико-химические свойства. Белое, кристаллическое вещество, без вкуса и запаха с температурой плавления 164–167ºC и кипящее при 320ºC. Представляет собой смесь D– и L– изомеров, примерно равных по токсичности. Слабо растворим в воде. Растворим в разбавленных кислотах, большинстве органических растворителях, таких как спирт и хлороформ. Частично начинает разрушаться при длительном нагревании до 170ºC. Во влажном воздухе гидролизуется до бензиловой кислоты и 3-хинуклидинола за 3–4 недели[57].
В 70-е годы BZ считался дорогим отравляющим веществом, производство 1 кг обходилось в 40 долларов, в 11 раз дороже зарина, а чтобы вывести из строя батальон его требовалось около 10 тонн[29].
Вещество BZ получают из метилбензилата и 3-хинуклидинола в присутствии металлического натрия[10]. Методика синтеза 3-хинуклидинола была предложена L. H. Sternbach в 1951 году [33]. Позднее, химиками из Эджвудского центр химических исследований, разработок и технологий (ERDEC) – был предложен более простой и относительно дешевый метод получения 3-хинуклидинола из винилпиридина[48]. Бензиловую кислоту получают из бензоина, а тот, в свою очередь, из бензальдегида.
В СССР прекурсоры вещества BZ производились в промышленном масштабе: 3-хинуклидинол при производстве таких лекарственных препаратов, как фенкарол, оксилидин, ацеклидин, бензиловая кислота — в синтезе метацина и амизила (в настоящее время не выпускается).
Большое количество «алкеновых» и «алкиновых» гликолатов синтезировали и исследовали Baum B.M и Stange H. из компании FMC в середине 60-х годов[22]. В СССР работы по синтезу ОВ этой группы велись в ГосНИИОХТе под руководством Н. Н. Яровенко.
Biel J.H из Лексайдской лаборатории синтезировал и изучил десятки гликолатов, среди которых наибольшую известность получили JB-318, JB-336, JB-329[23].
Одним из серьезных недостатков BZ считается медленное наступление эффекта. В более поздних исследованиях описаны быстродействующие гликолаты из группы производных 2-тропанола[56].
Токсичность
Ингаляционная токсичность. По данным Министерства обороны США (1974), для вещества BZ средняя выводящая из строя концентрация ICt50 — 112 мг·мин/м3, но, согласно данным, полученным в ходе полевых испытаний DORK, она может быть в 2 раза меньше (ICt50 — 61 мг·мин/м3)[45]. Что касается среднесмертельной концентрации LCt50 для человека, то она вызывает множество споров. Это связано с тем, что данные о токсичности BZ для различных видов животных невозможно экстраполировать на человека — LCt50 колеблется от 12 000 мг·мин/м3 для мышей до 123 000 мг·мин/м3 для морских свинок[45]. Это касается и терапевтического индекса (LCt50/ICt50), который оценивается от 40 до 2 000[27].
Внутривенная токсичность. Средняя выводящая из строя доза (ID50) при внутривенном и внутримышечном введении — 0,0055 мг/кг[54].
Пероральная токсичность. При приеме внутрь действие BZ слабее в 0,9 раза, чем от инъекции такой же дозы.
При попадании на кожу. Вещество BZ плохо проникает через неповрежденную кожу — не более 5–10%. Более выраженной кожно-резорбтивной токсичностью обладают жидкие гликолаты EA 3580, EA 3443, EA 3834 и EA 3167.
EA 3443 способен вызывать поражение при попадании на кожу, но при этом симптомы отравления появляются только через 24 часа[27]. Для EA 3443 выводящая из строя доза, при попадании на кожу, около 4–8 мг на человека.
В 1979 году в США проводились испытания растворов гликолатов в жидким ирританте EA 4923 и диметилсульфоксиде — веществе, которое увеличивает проницаемость кожи для биологически активных веществ в 25 раз[5]. Целью этих исследований было улучшение способности гликолатов проникать через кожу и обмундирование и повышение быстродействия[32]. Результатом этих работ стала рецептура ЕА 5302 — раствор гликолата EA 3834B в жидком ирританте CH (EA 4923).
Чрескожный путь введения холинолитиков больше интересовал ЦРУ, которое в 1971–1973 годах финансировало исследование EA 3167, наиболее подходящего отравляющего вещества для этой цели. Спецслужбы интересовала возможность этих веществ вызвать психоз при касании человеком предметов с нанесенным на них ОВ, или даже при рукопожатии[12,25].
Начало действия. Медленное начало действия — один из главных недостатков вещества BZ. Кроме того, из-за различной чувствительности к действию делириантов время наступления эффекта может значительно отличаться. Согласно расчетам, при боевом применении вещества BZ потеря боеспособности наступила бы через 2 часа у 5%, через 4,5 часа – у 50% и через 9,5 часа — у 95% пораженных[54].
Клиническая картина отравления
Начало действия отсроченное. Появление первых симптомов пропорционально зависит от полученной дозы (от 30 мин до 24 часов). Лаборатория Химических Исследований и Разработок Эджвудского Арсенала в руководстве, опубликованном в 1965 году, так описывает развитие симптомов при поражении BZ:
| 1–4 часа | тахикардия, головокружение, атаксия, рвота, сухость во рту, затуманенное зрение, спутанность сознания, заторможенность переходящая в ступор, затруднения при ходьбе; |
| 4–12 часов | неспособность реагировать на окружающую обстановку и двигаться; |
| 12–96 часов | повышенная активность, непредсказуемое поведение; |
| 48–96 часов | постепенное возвращение к нормальному состоянию. |
Центральная нервная система. Первыми симптомами отравления обычно являются сильная сонливость, переходящая в оцепенение. Речь неразборчивая, мыслительные процессы замедлены, внимание нарушено. Если в организм человека поступило не более 4 мкг/кг, клиника отравления этим и ограничивается.
В более тяжелых случаях развивается типичный атропиновый делирий: галлюцинации, преимущественно зрительные, устрашающего характера, двигательное беспокойство, тревога и бессонница. Также возможны так называемые «лилипутовые галлюцинации» — при которых все объекты кажутся меньше, чем в действительности[54]. Характерны жалобы на ощущение слабости, особенно в ногах, хотя мышечная сила не уменьшается. Пораженный может защищаться от галлюцинаторных образов или бороться с ними. Теряется ориентировка в месте, времени и окружающей обстановке.
Довольно типичны явления негативизма — сопротивление и отрицательное отношение к любым внешним воздействиям: приказам, попыткам оказать медицинскую помощь или эвакуировать пострадавшего. Однако, повышенная агрессивность не слишком характерна для отравления BZ и встречается лишь в 4% случаев[54].
Общение затруднено, речь становится очень тихой и монотонной, пораженные часто бормочут под нос что-то бессвязное. Они не в состоянии отвечать на задаваемые вопросы, так как просто не могут понять их смысл.
В ходе испытаний вещества BZ на добровольцах иногда наблюдалось необычное психическое расстройство, известное как “Folie a deux“ (в переводе с французского — ´один психоз на двоих`), при котором один из отравленных вовлекается в бредовую реальность другого[53]. Например, когда один начинает играть в теннис воображаемой ракеткой, другой начинает отбивать воображаемые подачи.
Карфология ( греч. karphologia — собирание клочков) — один из симптомов поражения делириантам, проявляющийся автоматическими движениями рук в виде пощипывания одежды, постельных принадлежностей, хватания воображаемых предметов из воздуха[27].
Еще одно из необычных нарушений восприятия у людей, находящихся под воздействием BZ или во время выздоровления — это иллюзия красной кожи, которые некоторые добровольцы даже принимали за кровотечение и пытались смыть невидимую кровь с рук[27].
Интересной особенностью психоза являются светлые промежутки, во время которых пострадавший может довольно адекватно отвечать на вопросы. Но уже через несколько минут он вновь погружается в сложный мир собственных галлюцинаций.
Постепенно психоз идет на убыль, галлюцинации становятся мене красочными, например, вместо огромных животных человек начинает видеть мышей или насекомых. Пострадавший начинает осознавать, что с его мыслительными способностями не все в порядке. В этот период могут возникнуть параноидальные идеи.
Обычно возвращению в нормальное состояние предшествует крепкий восстанавливающий сон. После выздоровления отмечается частичная или полная амнезия (пострадавший не помнит происходящего)[27].
Глаза. Мидриаз (расширение зрачка), снижение остроты зрения, особенно вблизи. При попадании в глаза вызывает покраснение и жжение.
Кожа и слизистые оболочки: Сухость во рту, слюна становится вязкой и тягучей. Часто, из-за сухости во рту, люди способны разговаривать только шепотом. Глотание затруднено, болезненное. Кожа сухая, горячая на ощупь. Из-за снижения тонуса капилляров возможно покраснение кожи.
Сердечно-сосудистая система. Через 3–4 часа после поражения — тахикардия, редко превышающая 150 ударов в минуту. Небольшое повышение артериального давления.
Желудочно-кишечный тракт. Тошнота, возможна рвота, снижение перистальтики кишечника. Аппетит отсутствует, пораженные могут отказываться от пищи и воды сутки и более.
Другие симптомы. Затрудненное мочеиспускание, которое при тяжелом отравлении может длиться до 16 часов.
Смерть может наступить в результате гипертермии — резкого повышения температуры тела или путем нанесения себе тяжелых увечий в состоянии делирия.
Лечение отравлений
До середины 60-х годов фармакологи считали, что специфического антидота при отравлении ядами типа атропина не существует. Однако, еще в 1864 году I. Kleinwachter успешно использовал при отравлении белладонной калабарские бобы, содержащие алкалоид физостигмин, который относится к группе ингибиторов холинэстеразы.
Лечение обычно начинают с введения 1–2 мг физостигмина, с интервалом от 15 мин до нескольких часов, в зависимости от тяжести поражения, при этом общая доза на курс лечения может достигать нескольких сот миллиграмм. Следует учитывать, что физостигмин действует гораздо слабее, если вводится через 4–6 часов после начала действия BZ. По мнению, J. S. Ketchum, синтезированные позже неостигмин и пиридостигмин не имеют явных преимуществ. Физостигмин является табельным антидотом при поражении ОВ типа BZ в армии США.
Имеются данные об эффективности такрина (Tacrine) при экспериментальных психозах вызванных холиноблокаторами. Внутривенное введение такрина ведет к исчезновению галлюцинаций, восстанавливает мышечный тонус. К сожалению, такрин вызывает кратковременное улучшение, и при этом оказывает токсическое действие на печень. Тем не менее в Чехословакии было синтезировано 7-метоксипроизводное такрина (7-MEOTA), более эффективное и в 7 раз менее токсичное. В 1991 году таблетки содержащие 100 мг 7-MEOTA стали табельным антидотом чехословацкой армии при отравлении BZ[-]. В начале 80-х годов в СССР был синтезирован близкий по строению Нейромидин (Ipidacrine), который оказался эффективным при отравлении холиноблокаторами.
Введение нейролептиков, таких как аминазин, может резко ухудшить состояние и вызвать развитие комы.
В Армии США рекомендована следующая схема медицинской помощи при поражении ОВ группы BZ[14]:
В большинстве случаев лечение симптоматическое. Следует обратить внимание на спокойное и дружелюбное отношение к пораженным, особенно к тем, кто сохранил способность к передвижению. Предметы, которыми пораженный может нанести повреждения себе и окружающим, или проглотить, должны быть удалены.
Для профилактики теплового удара при температуре воздуха выше 25ºC снимают с пострадавшего одежду и переносят его в затененное место с хорошей циркуляцией воздуха. При повышении температуры тела до 39ºC проводят энергичное охлаждение — обтирание прохладной водой (но не льдом!).
При необходимости вводится антидот — 2–3 мг физостигмина. Инъекции можно повторять с интервалом от 15 мин до 1 часа. После достижения эффекта переходят на медленное внутривенное введение физостигмина по 2–4 мг каждые 1–2 часа. При первой же возможности переходят на прием антидота в виде таблеток — 2–5 мг каждые 1–2 часа.
Вещества периферического действия, такие как пиридостигмин, неостигмин и пилокарпин, не могут служить заменой физостигмину и не должны применяться.
Интересен факт применения нервно-паралитических ОВ, таких как амитон и VX, для лечения поражений BZ. VX оказывал защитное действие при отравлении EA 3443 в дозе (1,5–1,7 мкг/кг, внутривенно). И наоборот, BZ показал себя как эффективный антидот при поражении V-газами.
В Вооруженных Силах СССР рекомендована несколько иная схема лечения отравлений веществами типа BZ: непосредственно на поле боя — одеть пораженному противогаз и после установления диагноза ввести антидот — 0,3–0,5 мл аминостигмина.
На следующем этапе эвакуации (МПП — Медицинский Пункт Полка) — у пораженного отбирают оружие, изолируют, и при необходимости фиксируют к носилкам. Проводят дезинтоксикационную и симптоматическую терапию:
- Аминостигмин, 1 доза внутримышечно;
- Введение физраствора 500–1000 мл;
- Введение 40% р-ра глюкозы — 20–40 мл;
- Введение сернокислой магнезии 25% — 4–10мл внутримышечно
- Анаприлин в таблетках 0,01–0,04 и другие бета-адреноблокаторы
- Такрин по 1–2мл подкожно;
- Один из следующих препаратов: эзерин 0,1% — 0,5–1 мл, аминостигмин 0,1% — 1 мл, галантамин 1% по 0,25–1 мл.
Нейролептики противопоказаны, но при при сильном возбуждении можно использовать трифтазин. На следующем этапе специализированной помощи продолжают введение антидотов, типа такрина. При необходимости повторяют дезинтоксикационную терапию с применением 5-окситриптофана, аминокислот, холина[13].
EA 3834 и второе поколение антихолинергических ОВ
В ходе исследования около 800 гликолатов были получены жидкие ОВ, способные проникать через кожные покровы лучше, чем BZ. Особенно перспективными в этом отношении оказались EA 3443 и EA 3834, которые представляют собой маслянистые жидкости и имеют лучшие тактико-технические характеристики[4]. Кроме того, они оказывают менее выраженное периферическое действие, а, следовательно, более безопасны.
Вещество EA 3834
EA 3834. В конце 60-х годов в качестве замены BZ все чаще упоминается EA 3834. Это вещество обладает важными преимуществами перед BZ: в 2 раза более высокая активность, меньшая продолжительность действия (10–15 часов) и быстрое наступление эффекта — первые симптомы отравления появляются уже через 10–35 минут. А главное, у него было слабо выражено периферическое действие, делирий не сопровождался ускоренным сердцебиением, расширением зрачка и гипертермией. Для боевого применения EA 3834 практически без доработки можно было использовать те же виды боеприпасов, что и для состоящего на вооружении вещества CS[30]. В середине 70-х годов, в связи со сворачиванием американской химической программы были прекращено и дальнейшее исследование EA 3834.
Гликолаты и разведка
В Эджвудском арсенале экспериментировать с веществом EA 3167 опасались из-за его слишком длительного и непредсказуемого действия на человека. Особенно после того, как один из исследователей промахнулся и вместо подопытной собаки попал шприцем с EA 3167 в собственный палец. В результате он угодил на две недели в отделение интенсивной терапии с затяжным делирием. Но и после выписки из стационара раздражительность и проблемы с памятью продолжали беспокоить около полугода.
Вещество EA 3167
В ЦРУ, по какой-то, только им известной причине считали, что СССР не только располагает запасами EA 3167, но и готовы его применить против высокопоставленных американских чиновников. Однако, большую опасность применения EA 3167 преставляли сами американские спецслужбы – один из сотрудников Эджвудского арсенала через много лет вспоминал, как бывшие сотрудники ЦРУ, преданные президенту Р. Никсону, собирались нанести EA 3167 на руль автомобиля его заклятого врага — журналиста Джека Андерсона (Jack Anderson), чтобы «сделать его слегка чокнутым»[25]. EA 3167, как и другие гликолаты второго поколения, не оказывает выраженного периферического действия (расширение зрачка, учащение пульса и повышение температуры), что существенно усложняет диагностику отравлений.
Вещества типа скополамина используются спецслужбами для извлечения конфиденциальной информации у субъектов с последующей амнезией. В 1950-х годах препарат «Нептун-47» применялся МВД СССР против бойцов Украинской повстанческой армии ОУН-УПА.
Соединение ФИПЭГ
Высказывались предположения, что «Нептун-47» это скополамин, однако действие скополамина начинается через час и длится дольше — 7–10 часов[27]. Позже в СССР был разработан похожий по действию специальный препарат СП-17. Основными требованиями к препаратам подобного типа являются быстродействие, отсутствие выраженных периферических эффектов и короткая продолжительность действия. Например, как у холиноблокатора известного в советской литературе как ФИПЭГ. Это соединение было впервые синтезированно в компании FMC (1963–1968) по контракту с Министерством обороны США [22] и независимо от них проф. Н. Н. Яровенко с сотр. (1967) из Лаборатории синтеза и исследования психотропных соединений ГосНИИОХТа. Этот гликолат уступает по психотомиметической активности BZ, но так же, как и близкие по строению 302,196 и 302,282, действует быстро и кратковременно и, подобно скополамину, ухудшает кратковременную память[55].
ОВ антихолинергического действия других стран
СССР. 3-хинуклидинил бензилат (BZ) и его производные были хорошо известны в СССР, начиная с 1962 года их изучение велось под руководством академика М. Д. Машковского, а многие близкие по строению вещества (амизил, апрофен, спазмолитин) нашли применение в качестве лекарственных средств[28]. Также BZ активно изучался в качестве потенциально психохимического ОВ и, возможно, фигурировал в документах как «Вещество 78». Опытно-промышленное производство этого ОВ было налажено в Вольском филиале ГосНИИОХТа, однако в дальнейшем предпочтение было отдано его жидкому аналогу ПСТ-40. В 2001 году сотрудниками ГосНИИОХТа опубликована работа о связи между химическим строением и активностью 23 гликолевых эфиров 4-пиперидинола[41].
Вещество B
ЮАР. На вооружении армии Южно-Африканской республике состояло вещество под шифром вещество B (N-метил-3-пиперидил бензилат, Substance B, Product B, JB-336). Руководитель химико-биологической программы ЮАР доктор Уотер Бессон (Wouter Basson) утверждал, что южноафриканский вариант BZ проходил оценку в России и результаты испытаний были ему переданы во время посещения Москвы и Ленинграда в 1990–1991 годах. Помимо метилпиперидил бензилата (B), в его состав входил кокаин (CB) в пропорции 10:1. Кокаин должен был служить для стабилизации и уменьшения уровня агрессии, вызванной веществом B. Данные об агрессивности вызываемой препаратами типа BZ, У. Бессон якобы также получил от своих «русских коллег».
Эта комбинация использовалась для снаряжения 150-мм снарядов, 81-мм мин и ручных гранат. Интересно, что 40 кг кокаина были закуплены у южноамериканских наркобаронов. В 1993 году все запасы этого ОВ (около 1 тонны) были уничтожены[31]. Кроме вещества B в ЮАР было освоено производство вещества BZ.
Агент 15
(вероятная формула)
Ирак. Agent-15 — психохимическое ОВ c из группы пиперидилгликолатов, не идентичное, но сходное по действию с BZ[2]. О наличии этого ОВ в арсеналах Ирака впервые официально заявил Министр обороны Великобритании G. Robertson в 1998 году. Согласно этому заявлению, Ирак обладает большим количеством Agent-15 с 1980 года. Краткая ссылка на Agent-15 представлена в докладе Специальной комиссией ООН (UNSCOM) в Августе 1995 года[3].
Один из самых известных экспертов в области химического оружия профессор Дж. П. Робинсон (J. P. Robinson) считает, что Agent 15 — это гликолевый эфир N-метил-3-пиперидинола, возможно изомер EA 3834[38].
В 1970 году в Научно-исследовательском институте национальной обороны Швеции были синтезированы и испытаны на животных антихолинэргические бензилаты, тенилаты и производные флуорена по активности не уступающие веществу BZ[42].
Итоги и перспективы
В 60-е годы выбор вещества BZ в качестве инкапаситанта был сделан из-за его выдающейся биологической активности, которая, в конце концов, перевесила все имеющиеся серьезные недостатки. В то время было известно лишь очень небольшое количество синтетических соединений способных полностью вывести человека из строя в дозе менее 0,5 мг.
Уничтожение запасов вещества BZ в 1989 году началось задолго до переговоров между СССР и США о запрещении химического оружия, и совсем не по причине миролюбивой политики США, просто, первое и последнее табельное психохимическое отравляющее вещество не оправдало надежд. Появились серьезные сомнения в его боевой эффективности. Одним из поводом стала авария на производстве боеприпасов с веществом BZ, во время которой произошел выброс ОВ в атмосферу. Ожидалось, что отравление получат большое количество работников, но, к удивлению, в результате инцидента вообще никто не пострадал[52].
Веществу BZ присущи множество недостатков, главные из которых:
- слишком высокая для несмертельного ОВ токсичность;
- очень медленное начало действия;
- непредсказуемое поведение и опасность нанесения увечий себе и окружающим;
- сравнительно дорогостоящее и сложное производство;
- боевое применение в виде дыма делает невозможным скрытое нападение в дневное время.
С тех пор ситуация в области психофармакологии изменилась и некоторые из известных сегодня антихолинэргических препаратов в экспериментах in vitro показывают в сотни и даже тысячи раз более высокую активность, чем «старичок» BZ, казавшийся сверхмощным галлюциногеном всего полстолетия назад. Поэтому в последние годы высказываются опасения, что такие исследования могут иметь военный потенциал[43]. Так, например, открытые в 1987 году холиноблокаторы демонстрировали в 1 200–2 000 раз более высокий аффинитет к мускариновым рецепторам, чем вещество BZ[44]. Настораживает, что финансирование таких разработок велось Министерством обороны США, а также отсутствие последующих публикаций, подтверждающих или опровергающих столь высокую биологическую активность полученных соединений.
Современные представления о функционировании различных подтипов мускаринового рецептора позволяет создать инкапаситанты, избирательно блокирующие M1-рецепторы расположенные в ЦНС, и не влияющие на M2-рецепторы сердечной мышцы.
В настоящее время снят с вооружения Армии США. Боеприпасы снаряженные BZ имели маркировку два красных кольца на сером фоне и надпись «BZ GAS».
В 1962 году на вооружение армии США были приняты кассетные авиабомбы — M44 и M43 (или CBU-5/B). Эффективность рассеивания ОВ для боеприпаса M43 составляла 70%. В 1966 году их заменили более совершенной авиабомбой CBU-16/A. Одна кассета CBU-16/A вмещала 1280 суббоеприпасов BLU-50/B c 22 граммами BZ в каждом[54,57]. Бомбометание кассетами M43 и М44 могло производиться с высот свыше 1900 метров, с последующим открытием кассет на высоте около 1400 метров[24].
M44 состояла из трех термических генераторов (М16) по 42 суббоеприпаса в каждом (всего 18 кг BZ)
Кассета M43 заполненная 57 бомбами M138 (всего 39 кг BZ).
Кассетная бомба CBU-16A/A содержала 1280 суббоеприпасов BLU-50/B (всего 28 кг BZ)
Для распыления BZ в основном применялись термические составы, так как при возгонке взрывом может разрушаться до 50% отравляющего вещества. Пиротехнические составы для термической возгонки BZ состоят обычно из окислителя (чаще всего бертолетовая соль), топлива (сера, сахароза, лактоза), замедлителя, одновременно служащего для снижения температуры горения состава (MgCO3, NaHCO3) и непосредственно отравляющего вещества. При горении такой смеси в боевое состояние переходит до 85% отравляющего вещества. В дальнейшем состав пиротехнической смеси модифицировался, кроме BZ эксперименты велись и с другими ОВ этой группы EA 3580, EA 3834[20,21].
Для EA 3834A (солянокислая соль EA 3834) был предложен пиротехнический состав на основе 3,3- бис(азидометилоксэтана). При горении этой смеси образуются частицы ОВ оптимального размера 0,5-5 микрон[19].
Химический корпус США рассматривал два варианта применения вещества BZ (1962):
Берлинский сценарий — совместное применение вещества BZ с ирритантом CS против бунтующих мирных жителей, возможно, смешанных с силами противника. Предусматривает неоднократное использование CS для сдерживания целевой группы, до того момента, когда начнет действовать BZ, что позволит подавить сопротивление без эскалации физического насилия.
Алжирский сценарий предлагалось использовать для выведения из строя полувоенных формирований, замеченных воздушной разведкой, что давало выигрыш в 2–4 часа для переброски имеющихся сил из отдаленных районов и увеличивало вероятность захвата пленных[54].
Сравнительная фармакологическая характеристика 14 эфиров гликолевой к-ты (На основании исследований проведенных в Эджвудском Арсенале в 1960-1971 годах)[61]
| Шифр | Химическое название и формула | кол. испыт |
MED мкг/кг |
ID50 мкг/кг |
Длительность действия (ч) |
Сравнительная эффективность |
|
|---|---|---|---|---|---|---|---|
| Периф. | Центр. | ||||||
| 226,086 |
L-2-альфа-тропинил-L-(фенилциклопентил)- гликолат | ||||||
![]() |
21 | (1,5) | (2,0) | (18–36) | (2,4) | (10) | |
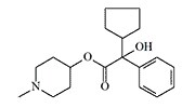
| EA 3443 | 1-метил-4-пиперидиловый эфир фенилциклопентилгликолевой кислоты | ||||||
![]() |
101 | 1,2 | 3,4 | 48–72 | 2,3 | 6,2 | |
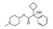
| EA 3580 | 1-метил-4-пиперидиловый эфир циклобутилфенилгликолевой кислоты | ||||||
![]() |
136 | 1,4 | 3,9 | 16-24 | 2,6 | 6,0 | |
| EA 3167 | 3-хинуклидиловый эфир фенил-циклопентилгликолевой кислоты | ||||||
![]() |
24 | 2,8 | 4,1 | (96–240) | (2–4) | (5,6) | |
| BZ | 3-хинуклидинил бензилат | ||||||
![]() |
354 | 2,3 | 5,2 | 48–72 | 5,4 | 4,0 | |
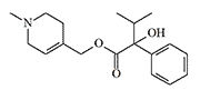
| EA 3834 | 1-метил-4-пиперидиловый эфир изопропилфенилгликолевой кислоты (MPIPG, T.3436) | ||||||
![]() |
171 | 2,0 | 5,7 | 10–15 | 1,0 | 3,7 | |
| CS 27349 | L-2-альфа-тропинил-бензилат (219758) | ||||||
![]() |
50 | 3,0 | 6,0 | 10–15 | (2,0) | 3,4 | |
| CAR 301,060 |
цис-2-метил-3-хинуклидинил циклопентил-гликолат | ||||||
![]() |
29 | 3,0 | (6,0) | (12–20) | (4,0) | (3,4) | |
| 302,668 |
4-(1-метил-1,2,3,6-тетрагидропиридинил)- фенилизопропил гликолат | ||||||
![]() |
39 | (4,0) | 8,9 | 10–15 | 0,9 | 2,4 | |
| 302,282 |
1-метил-4 пиперидил фенил-(3-метилбут- 1-ин-3-енил) гликолат | ||||||
![]() |
20 | 4,4 | 12,5 | 6–10 | (2,0) | 1,7 | |
| Скополамин | ![]() |
637 | 9,4 | 20,2 | 5–10 | 0,8 | 1,0 |
| 302,196 |
N-метил-4-пиперидил циклопентил-(1- пропинил)-гликолат | ||||||
![]() |
56 | (12) | 28,9 | 4–6 | 0,7 | 0,7 | |
| Дитран | N-этил-3-пиперидил- (фенилциклопенитл)- гликолат (CS 4297) | ||||||
![]() |
22 | 54 | 100 | 4–8 | 0,2 | 0,2 | |
| Ме-скополамин |
66 | 5 | (400) | 5–10 | 3,6 | 0,5 | |
| Атропин |
![]() |
602 | 63,6 | 152,4 | 8–12 | 1,0 | 0,1 |
Значения заключенные в круглые скобки приблизительные, из-за недостатка имеющейся информации. Сравнительная периферическая активность атропина принята за 1. Сравнительная центральная активность скополамина принята за 1. Серым цветом выделены другие
Всего в опытах на добровольцах было испытано 21 вещество из группы холинолитических галлюциногенов. В качестве наиболее вероятных кандидатов на роль будущих психохимических ОВ рассматривались BZ, EA 3834, EA 3443 и EA 3580. Самые активные холинолитики EA 3443 и EA 3580 превосходят BZ почти в 2 раза. Дольше всех действует EA 3167, для полного восстановления требуется по меньшей мере 3–5 дней. EA 3834, наоборот, вызывает кратковременный психоз, продолжительностью до 15 часов. EA 3580 начинает действовать через 2 часа после ингаляции и основные симптомы интоксикации исчезают через 9 часов. Еще более коротким действием обладают дитран и 302,196, но они значительно уступают по активности.
Самый быстродействующим оказался 302,196 — эффект после внутривенного введения наступает через 12 минут.
CAR 302,212 — еще один быстродействующий делириант, первые признаки интоксикации в виде головокружения, чувства «пустоты в голове» появляются через 15–30 мин, а между 30 и 60 минутами уже наблюдается выраженная сонливость. О веществе CAR 302,537 известно лишь, что оно по активности превосходит BZ, но действует быстрее и короче[61].
![]() |
![]() |
![]() |
![]() |
| CAR 302,212 | CAR 302,368 | CAR 302,537 | CAR 302,775 |
Почти отсутствует информация о веществе CAR 302,775, одном из самых перспективных из более чем 1300 гликолатов, синтезированных компанией FMC Corp. по программе CAR (Chemical Agent Research) в 1963–1965 годах. Это вещество обладало высокой активностью и быстродействием[22,59].















